为深入学习宣传贯彻落实《新时代爱国主义教育实施纲要》,切实将共同抗击疫情斗争作为推进高校思想政治教育的重要实践和生动教材,伟德国际victor1946积极部署开展“共抗疫情、爱国力行”主题宣传教育,倾力推出本科党支部“共抒爱国情,网聚正能量”线上党日活动接力展示,青年党员们将通过“读”“写”“拍”“画”“创”等形式,用自己的视角、自己的语言、自己的体验、自己的方式进行网络创作,大力弘扬新时代爱国主义精神、不断坚定爱国力行的使命责任。
这是一场没有硝烟的战“疫”,病毒锋利的钢索紧紧勒着生命的喉咙,奋战在一线的医务工作者们,逆光而行,用尽全力将生命拉向光亮,用平凡而伟大的身躯抵挡黑暗。
在这样一个特殊时期,公司本科第三党支部的员工党员们,积极响应抗疫召唤,创作网络文化作品,通过书法创作、绘画设计、书信写作等方式,“共抒爱国情,网聚正能量”,传达美好祝愿,致敬奋战在一线的战士们,致敬战“疫”中逆光者们!

【创作感悟】自春节期间疫情在我国爆发以来,又一次让我深刻感受到了党和国家的凝聚力!看着治愈人数不断增加,病情得到有效控制,让我对全面战胜疫情更加有信心,更加让我体会到了党、国家、人民的努力,我心中对于国家的制度自信油然而生!为奋战在前线的医务人员们加油!为全体中国人民加油!武汉加油!天佑中华!

(作者:李睿聪 类型:海报)
【创作感悟】疫情如巨浪排山倒海袭来之际,是伟大的义务工作者们,冲在了前线,保护着每一座城市,保护着这个国家,保护着我们每一人。他们用铿锵的誓言,让我们感受到了人间大爱。我们要相信天空的辽远蔚蓝,相信人间的大爱温暖,相信铿锵的誓言,相信生命的平安,用真情实感和实际行动,为战士们加油!为武汉加油,为中国加油!

(作者:王越 类型:加油海报)
【创作感悟】2020年一开始,灾难便向我们扑来。感染人数持续增加,累计死亡的数字也在不断增大,一切都在显示着灾难的恐怖与无情。它夺取同胞的生命想要我们屈服,可它却看到这样的画面:火神山、雷神山医院平地而起;千万封请愿书写着同样的内容;各地民医、军医共赴前线;Wakanda咖啡众人云买单;留下口罩而“逃”的无名之人;这些大大小小的事情都在告诉灾难:我们饱含泪水,但我们绝不认输!让我们一起守望相助,共待春暖花开!

(作者:陈钦 类型:手绘)
【创作感悟】疫情爆发后,前线的医务人员组成了守护武汉的第一双翅膀;坚守岗位,组成隔断传播途径战线的工作战士,是我们的第二双守护翅膀;十四万万同胞心系武汉,众志成城,张开最坚实的翅膀守护这座可爱的城市和那些可爱的人。不必惧怕那漫漫长夜,逆光就去驱散黑暗,会有爱心如翼,层层守护。守护这座城,正如医务工作者守护着我们,正如政府守护着每一个人。坚信党和国家将引领我们飞向下一个春暖花开。守护你所守护,坚定你所坚定。致敬每一位逆光者!

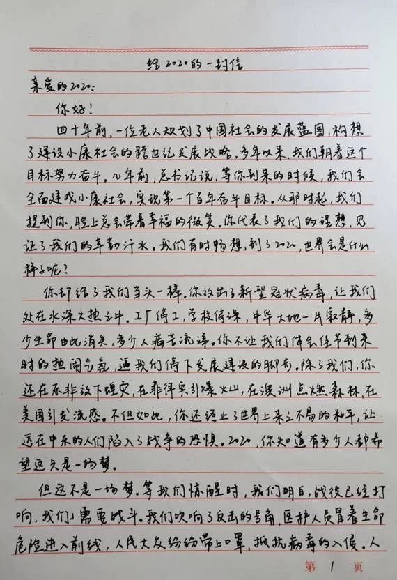
(作者:李宗亚 类型:书信)
【创作感悟】突如其来的2020年,就像一场梦。等我们惊醒时,我们才知道,战役已经打响,我们需要战斗。我们吹响了反击的号角。医护人员们冒着生命危险进入前线,人民大众纷纷带上口罩,抵抗病毒的入侵。人们各司其职,热情捐助,现在已经到了决胜的时间。九九八十一难,没有一难是轻松简单的,也没有一难是能够侥幸逃掉的。我们始终有这样一个信念,只要我们团结一心,中华民族是不可战胜的。我们终于明白了,原来这是2020年给我们的磨砺和考验,胜利后的我们也将更加强大。让我们共克时艰,奔赴2020!
武汉加油,中国必胜!

漫漫长夜,你们逆光而行,与黑暗拼搏,只为我们能一起去触碰黎明的光亮。致敬每一位奋战的医务人员!致敬每一位平凡而伟大的逆光者!
这是一个平凡人温暖平凡人的季节,这是一个平凡人相互守护的时代,每个人都在为疫情防护贡献力量。春暖花开之际,我们看见了希望,却从不敢懈怠,一起坚持下去,期待天明!在下一个风和日丽的日子里,期待着你的笑脸!